1.Introduction
Courbe des taux
Par convention, il y a un décalage entre la date de fixing d’un taux et la date de départ de la période d’intérêt (en général 2 jours).
Dans toute la suite on se place dans le monde J+2
Par exemple, r(0,T) désignera un taux défini aujourd’hui, commençant dans 2 jours et finissant à T. La période d’intérêt se calculera par : (J+2,T)
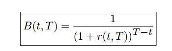
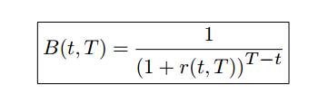
Zéro-coupon
On notera :
le prix à la date t d’une unité monétaire à la date T.
Absence d’opportunité d’arbitrage
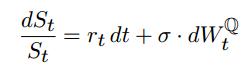
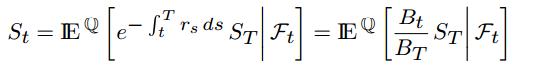
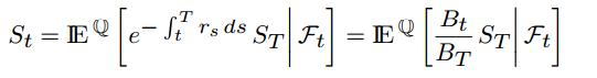
Par A.O.A, on sait que si St est le processus de prix d’un actif traité sue le marché alors :
où Q est la probabilité risque-neutre et rs le taux sans risque.
On peut également écrire :
avec sigma quelconque (en particulier déterministe ou non)
2. EURIBOR, CAPLETS, CAPS
- Taux Euribor
Taux spot : Le taux Euribor est le taux actuariel donné par la courbe entre aujourd’hui(comprendre J+2) et la date de fin de l’Euribor.
On peut avoir plusieurs durées : essentiellement 3M et 6M.
- Calcul de taux
Pour calculer proprement le taux, on a besoin :
- d’une durée
- d’une convention pour calculer la période d’intérêts
Pour trouver la date de fin, on additionne à la date de départ la durée, en utilisant la règle “modified following”.
- Contrat forward (ou forward Rate Agreement, FRA)
Un Euribor forward de maturité T est un contrat de forwarrd sur l’Euribor débutant à T (fixing à T-2J) et terminant à T+d. La maturité T est calculée en utilisant la règle “m”, mais la date de référence reste la date sans modification.
-
Caplets
Un caplet est une option d’achat sur un Euribor forward.
L’option de strike K verse à la date T+d la difference positive entre l’Euribor
T —> T+d et K.
-
Caps
Un cap est une somme de capelets s’enchaînant.







